Article

Monarch Butterfly Survival Depends on More than Milkweed

A recent study reveals how shade and plant type can support these iconic native pollinators.

By Michelle Boone


About this article

This article was first published online on March 25, 2026, as part of the Picturing the Unseen series.


Orange and black butterfly perched on a cluster of small, spiky pink flowers.
Adult monarch butterfly on showy milkweed.

U.S. Fish and Wildlife Service / Tom Koerner

What comes to mind when you think of a monarch butterfly? Do you picture their striking orange and black coloration? Are you enthralled by how they grow, form a chrysalis, and emerge a completely different looking creature? Do you revere their long-distance migration? In North America, there are actually two distinct migrating populations of these important native pollinators, divided by the Rocky Mountains. Both populations were recently proposed for listing as threatened under the Endangered Species Act.

But the western population, which overwinters along the California coast before dispersing north and east, is especially vulnerable. This is because, in the dry West, monarchs may face higher temperatures and longer heatwaves than they’re able to survive. Microhabitats, areas with different (in this case, cooler) conditions from the larger landscape, can thus be important refuges. This has implications for parks and other protected areas seeking to provide monarch-friendly “rest stops” during the butterflies’ long and arduous journeys.


"We wanted to know where and when monarchs were breeding in the West.”

In the September 2025 issue of Journal of Insect Conservation, a team of researchers, myself included, described a study, begun in 2017, to better understand the role of such microhabitats. “We have somewhat systematic counts of monarchs on the coast,” said Cheryl Schultz, the study’s senior researcher. “But,” she added, “very little is systematically known in the breeding range. We wanted to know where and when monarchs were breeding in the West.”

Black and white line drawing of a map of WA, OR, ID, NV, and CA with state borders, state names in red and blue dots depicting survey site locations
Survey sites (blue dots) in five states. Umatilla National Wildlife Refuge is in Oregon along the OR-WA border. From Boone and others, 2025.

Boone and others. 2025. "Late summer western monarch survival is affected by shade environment and milkweed species." Journal of Insect Conservation 29:72.

Covering the Bases

The study covered five states: California, Nevada, Idaho, Oregon, and Washington. It focused on wildlife refuges and military bases. But the results are relevant to other natural areas, including national parks. The sites gave the team a mix of shaded and open areas to monitor.


“The military’s need to maintain open spaces for training, and disturbance regimes needed for butterfly conservation, are very compatible."

“Many butterflies need early successional habitats,” Schultz said. “The military’s need to maintain open spaces for training, and disturbance regimes needed for butterfly conservation, are very compatible.

The team visited each site about once per month during spring and summer 2017-2019, searching milkweed plants for monarch eggs, caterpillars, and pupae (chrysalises). Team members recorded the milkweed species, number of plants, and whether the milkweed was in the sun or shade. To investigate temperature variation within sites, they placed temperature loggers in open, sunny areas and shaded areas at two study sites: Beale Air Force Base in California and Umatilla National Wildlife Refuge in Oregon.

Four pale green pupae with gold spots hang from white mesh fabric
Four healthy monarch butterfly pupae (chrysalises) hanging from mesh fabric in an enclosure in a shaded plot.

NPS / Michelle Boone

The data led to some surprising observations. There were more than twice as many monarch eggs and caterpillars, on average, on shaded milkweed plants than on those in open, sunny areas. This was true even when only a little bit of shade was available

Shaded areas were cooler during the day and warmer at night, so they may have buffered the caterpillars from extreme temperatures. But other reasons for these differences, like predation, couldn’t be ruled out.

Testing Different Microhabitats

To test our hypothesis that microhabitats were influencing monarch survival, we devised a field experiment at Umatilla National Wildlife Refuge in 2023. This site has ample shade and thousands of milkweed plants from two species: showy milkweed (scientific name: Asclepias speciosa) and narrow-leaved milkweed (Asclepias fascicularis).

Closeup of a black, yellow, and white caterpillar on a green plant with thin, whip-like leaves
A monarch caterpillar on narrow-leaved milkweed.

NPS / Michelle Boone

11 small transluscent plastic cups, each with one small caterpillar and some green leaves
Monarch caterpillars collected from the wild and brought to the greenhouse to rear and mate.

NPS / Michelle Boone

I came into the study as a post-doctoral researcher fresh out of graduate school. My job was to set up the field study, collect data, and supervise the field crew.


We wanted to keep things simple for our study.

We set up study plots in four treatment areas representing different microhabitats that monarchs might encounter:

  • Showy milkweed in full sun
  • Showy milkweed in full shade
  • Narrow-leaved milkweed in full sun
  • Narrow-leaved milkweed in full shade
Monarch with folded wings perched on a colorful sponge
The team fed the greenhouse-reared adult monarchs with a piece of sponge soaked in a sweet liquid to simulate nectar from a flower.

NPS / Kelsey King

Monarchs in the wild may encounter varying degrees of partial shade and many predators, but we wanted to keep things simple for our study. So we built enclosures out of wire fencing wrapped with mesh fabric to confine the monarch caterpillars to each uniformly shaded plot and to keep most predators out.

We first collected caterpillars from the wild then reared them in a greenhouse. When they were adults (butterflies), they mated and laid eggs, which hatched into tiny caterpillars.

We took the caterpillar offspring back to the field and placed them in the enclosures in each of the four treatment areas.

A woman in a flowered dress working in a greenhouse
A technician caring for monarchs in the greenhouse.

NPS / Michelle Boone

We put an equal number of caterpillars in each enclosure. Over the next 45 days, the crew kept daily records of how many caterpillars survived and how many made it to the adult stage. We removed the adult butterflies and measured them before releasing them back into the wild.

Person in baseball cap bends over a wire frame covered with mesh in a grassy field. Several other such frames are in the background.
A field technician completing a daily check to determine how many caterpillars are alive in a narrow-leaved milkweed plot in full sun.

NPS / Michelle Boone

Beyond Host Plants

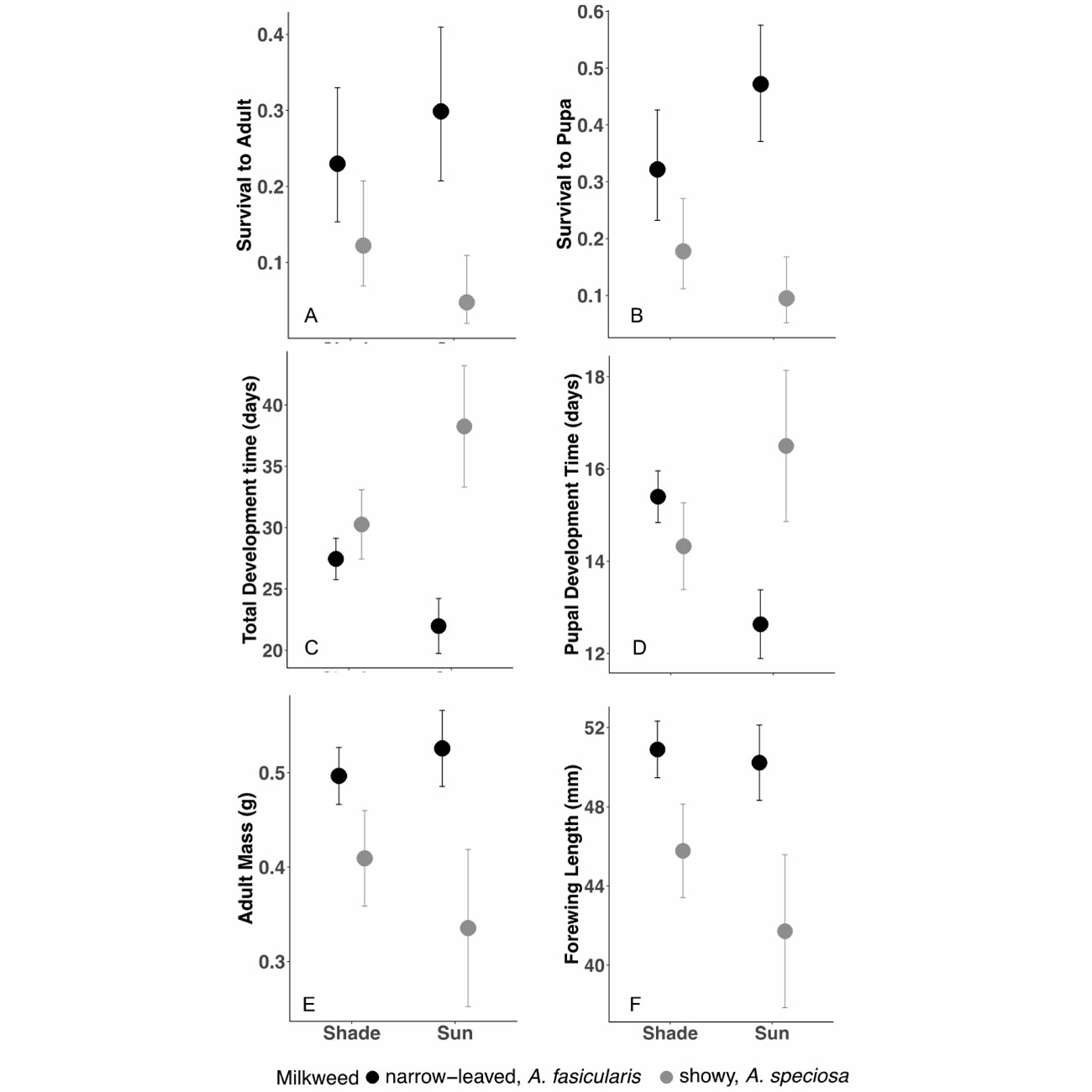
Our results were varied. Caterpillars on narrow-leaved milkweed in full sun were the most likely to survive to adulthood. They also grew the fastest and became larger adults with longer forewings. On the other end of the spectrum, monarchs on showy milkweed in full sun had the lowest survival, grew the slowest, and produced the smallest adults.

Six black and white graphs depicting results of experimental study at Umatilla National Wildlife Refuge
Influence of shade, sun, and milkweed species on survival of adult and immature monarchs at Umatilla National Wildlife Refuge (2023 field experiment). From Boone and others, 2025.

Boone and others. 2025. "Late summer western monarch survival is affected by shade environment and milkweed species." Journal of Insect Conservation 29:72.

Caterpillars in the shade on either milkweed species had moderate development time and survival. But the monarchs on narrow-leaved milkweed were still larger than those on showy milkweed in the same shady area. Our study shows that although the presence and type of milkweed are critical, good habitat goes beyond host plants. The amount of shade or sun is also a factor.


“If you have the ability to enhance or restore milkweed in the shade, it’s great...and if you don’t have shade, you can focus on different types of species.”

“In some cases," said Schultz, "if you have the ability to enhance or restore milkweed in the shade, it’s great...and if you don’t have shade, you can focus on different types of [milkweed] species.” Schultz believes this kind of adaptability and flexibility will help managers meet their monarch conservation goals.


Headshot of smiling woman with long dark hair and thick-rimmed glasses

About the author

Michelle Boone, PhD, is an entomologist and pollinator project manager with the National Park Service's Inventory and Monitoring Division and Colorado State University. Image copyright © Michelle Boone. Used by permission.


Republishing this article

This article is available for unedited republication, free of charge. We ask that you use the following credit: Originally published as “Monarch Butterfly Survival Depends on More than Milkweed” on nps.gov, March 25, 2026.

Important: Some images may be copyrighted. Permission from the copyright holder is needed to reuse these. Check image credits for details.

Please let us know if you republish this article or have any questions.


Cite this article

Boone, Michelle. 2026. “Monarch Butterfly Survival Depends on More than Milkweed.” National Park Service, March 25, 2026. https://www.nps.gov/articles/000/psv40n1_monarch-butterfly-survival-depends-on-more-than-milkweed.htm

Part of a series of articles titled Picturing the Unseen.

Last updated: March 25, 2026