Article

Landbird Monitoring in Northern Colorado Plateau Network Parks, 2018

Small, bright orange bird with yellowish underfeathers.

Why Monitor Landbirds?

Birds occupy various levels in the food web and play an important role in the flow of energy through ecosystems. Because they can be sensitive to habitat change, birds are good indicators of ecosystem integrity. They also have strong public appeal—unlike many other animals on the Colorado Plateau, birds are commonly visible to park visitors. Data from the relatively natural habitats of Northern Colorado Plateau Network (NCPN) parks will provide status and trend information useful in comparisons with more-impacted areas.

How is the Monitoring Done?

NCPN landbirds monitoring assesses trends in breeding-bird species by habitat, rather than by park. During each breeding season, a partner organization surveys 15 transects in each of the three habitats of interest (low-elevation riparian, pinyon-juniper, and sage shrubland). Point counts and area searches are also conducted as part of a modified monitoring design at Pipe Spring National Monument.

What’s the Most Recent News?

In 2018, biologists from the University of Delaware surveyed 45 locations within 11 park units. Each location was surveyed once. In addition to the habitat-based surveys, four point counts and an area search were conducted at Pipe Spring National Monument.

Over 13 years of data collection, 13,618 point-count surveys have been conducted in the 11 parks, detecting 167 unique species. During the 2018 field season, 644 point-count surveys were conducted, detecting 103 unique species. One new species was detected for this monitoring program: a summer tanager, during a low-elevation riparian transect survey in Zion National Park.

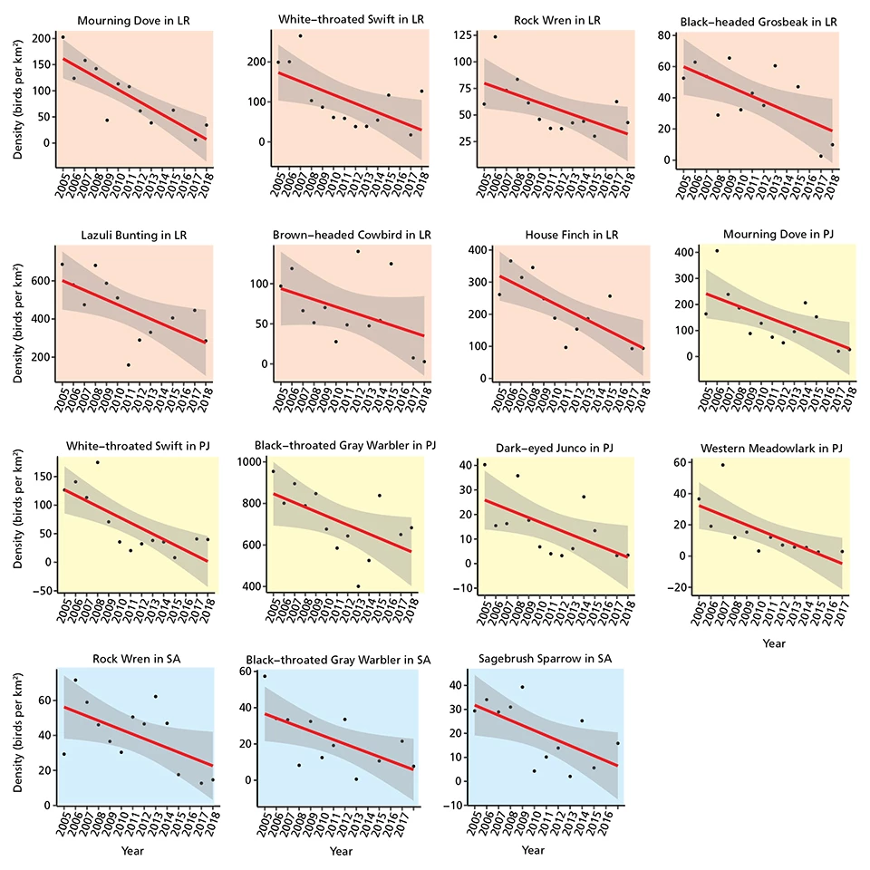
In total, 135 population-density trends were estimated across the three habitats for 2018. Twenty-two of those trends were significant (p-value <0.05), including 15 negative trends and 7 positive trends. There were suffcient sample sizes to estimate the densities of 64 species in at least one of the three habitats surveyed.

Increasing and Declining Trends in NCPN Landbirds, 2018

Seven increasing trends: 4 in PJ and 3 in SA Seven increasing trends: 4 in PJ and 3 in SA

Left image
Seven increasing trends were estimated for species in pinyon-juniper (PJ) and sage shrubland (SA) habitats.

Right image
Fifteen declining trends were estimated for species in low-elevation riparian (LR), pinyon-juniper (PJ), and sage shrubland (SA) habitats.

Species LR PJ SA
Mourning dove
White-throated swift
Rock wren
House wren
Virginia’s warbler
Yellow warbler
Black-throated gray warbler
Green-tailed towhee
Spotted towhee
Vesper sparrow
Sagebrush sparrow
Dark-eyed junco
Black-headed grosbeak
Lazuli bunting
Western meadowlark
Brown-headed cowbird
House finch

Using a modified monitoring design, landbird monitoring surveys were conducted in Pipe Spring National Monument for the ninth year since 2009. A total of 131 individuals of 40 species were recorded. Three common yellowthroats, a Lincoln’s sparrow, and a Cassin’s finch were detected for the first time by this monitoring program, and a migrant northern waterthrush was detected for the first time within park boundaries. Sample sizes were too low for density trends to be estimated for Pipe Spring National Monument.

How is this Information Used?

In order to know which species to manage for, park managers need to know which species are present. Data from this monitoring is also useful for park planning documents, such as Natural Resource Condition Assessments and State of the Park reports, and demonstrates the value of unimpaired national-park landscapes and their value to bird communities.

Where are Landbirds Monitored?

Northern Colorado Plateau Network landbirds monitoring occurs at 12 network parks: Arches, Black Canyon of the Gunnison, Bryce Canyon, Canyonlands, Capitol Reef, and Zion national parks; Colorado, Dinosaur, Fossil Butte, Natural Bridges, and Pipe Spring national monuments; and Curecanti National Recreation Area.

The results in this article were summarized from S. G. Roberts, E. L. Tymkiw, Z. S. Ladin, and W. G. Shriver. 2019. Landbird monitoring in the Northern Colorado Plateau Network: 2018 field season.

Print this brief

Arches National Park, Black Canyon Of The Gunnison National Park, Bryce Canyon National Park, Canyonlands National Park, Capitol Reef National Park, Colorado National Monument, Curecanti National Recreation Area, Dinosaur National Monument, Fossil Butte National Monument, Natural Bridges National Monument, Pipe Spring National Monument, Zion National Park more »

Last updated: September 6, 2019