Article

Stream Life at George Washington Memorial Parkway

A stream, with rocky banks retreats into the distance.
Turkey Run at George Washington Memorial Parkway.

U.S. National Park Service

Map showing location of biological stream survey sites and rivers and streams at George Washington Memorial Parkway.
Stream monitoring locations at George Washington Memorial Parkway

Scientists working with the National Capital Region Inventory & Monitoring Network (NCRN I&M) monitor the health of fish and macroinvertebrate communities in four streams at George Washington Memorial Parkway. These include Mine Run, Minnehaha Creek, Pimmit Run, and Turkey Run. They assess stream fish and macroinvertebrates using the Fish Index of Biotic Integrity and the Benthic Index of Biotic Integrity. These scoring systems take into account the number of taxa; abundance of individuals; and the proportion of taxa that are sensitive, intermediate, or tolerant to disturbance; as well as comparisons with biological communities expected in environments like the parks at George Washington Memorial Parkway. Scientists also collect data on the physical characteristics of these streams to assess the habitat they provide.

George Washington Memorial Parkway has a complex geological history and falls within both the Piedmont and Atlantic Coastal Plain physiographic provinces. All four streams monitored for stream biota and physical habitat characteristics are in the Piedmont. It contains many marshes, hills, and river inlets following the Potomac River out towards the Chesapeake Bay.

Fish Community

A small thin fish with a horizontal black stripe down its body lays against a person’s fingers.
Blacknose dace is a highly abundant species in George Washington Memorial Parkway streams.

U.S. National Park Service

Fish Index of Biotic Integrity

Fish Index of Biotic Integrity (FIBI) scores at George Washington Memorial Parkway ranged from very poor (Minnehaha Creek, Pimmit Run) to fair (Mine Run). Scores at Mine Run and Pimmit Run were consistent with the previous monitoring cycle, while FIBI at Minnehaha Creek and Turkey Run declined.

FIBI scores use data such as the abundance of fish that are disturbance tolerant, insect-eating, omnivorous, or benthic to assess stream health. Scores range from 1 to 5, with four possible ratings: very poor (1–1.99), poor (2–2.99), fair (3–3.99), and good (4–4.99). Figure 1 shows the FIBI scores for each stream site.

A bar plot showing Fish Index of Biotic Integrity, ranging from 1 to 5, on the y-axis, and George Washington Memorial Parkway stream names on the x-axis. Refer to narrative figure description for more details.
Figure 1. Fish Index of Biotic Integrity (FIBI) scores for four streams at George Washington Memorial Parkway. Scores are measured on a scale of 1 to 5 which are categorized as follows: 1–1.99 = very poor, 2–2.99 = poor, 3–3.99 = fair, 4–4.99 = good.

Species Found

In 2022, 13 species of fish were observed in George Washington Memorial Parkway. Blacknose dace (Rhinichthys atratulus) was the most abundant species observed overall (151 total individuals). All four streams experienced a decrease in the number of blacknose dace recorded and overall fish abundance. Minnehaha Creek, which received the lowest FIBI score, had the lowest fish abundance and species richness. The site experienced a considerable decline in blacknose dace abundance (from 280 individuals in 2009 to 74 in 2022). American eels were recorded at Minnehaha Creek for the first time in 2022, making it the only site where the number of fish species increased since the previous monitoring year.

A close-up image of a brown fish with white bumps on the top of its head and body in an aquarium.
Adult central stoneroller

U.S. National Park Service

Mine Run had the highest FIBI score and highest species richness. However, overall fish abundance has declined at the site since it was last sampled in 2012 (from over 200 to 84 fish). Species richness also decreased, with 20 species observed in 2012 compared to 12 species in 2022.

Three sensitive fish species were identified at the park. River chub were recorded at Mine Run, one rosyside dace was found at Turkey Run, and central stoneroller were found at both streams.

Mine Run Fish Species

2022 BIBI: 3.7 (fair)

Species # of Individuals
Fantail darter (Etheostoma flabellare) 16
Green sunfish (Lepomis cyanellus) 13
Blacknose dace (Rhinichthys atratulus) 13
Longnose dace (Rhinichthys cataractae) 10
Central stoneroller (Campostoma anomalum) 7
American eel (Anguilla rostrata) 7
River chub (Nocomis micropogon) 6
Creek chub (Semotilus atromaculatus) 5
Bluegill (Lepomis macrochirus) 4
Yellow bullhead (Ameiurus natalis) 1
Redbreast sunfish (Lepomis auritus) 1
Bluehead chub (Nocomis leptocephalus) 1

Minnehaha Creek Fish Species

2022 FIBI: 1.3 (very poor)

Species # of Individuals
Blacknose dace (Rhinichthys atratulus) 74
American eel (Anguilla rostrata) 3

Pimmit Run Fish Species

2022 BIBI: 1.7 (very poor)

Species # of Individuals
Longnose dace (Rhinichthys cataractae) 38
American eel (Anguilla rostrata) 29
Blacknose dace (Rhinichthys atratulus) 9
Creek chub (Semotilus atromaculatus) 3

Turkey Run Fish Species

2022 BIBI: 2 (poor)

Species # of Individuals
Blacknose dace (Rhinichthys atratulus) 64
Longnose dace (Rhinichthys cataractae) 23
Creek chub (Semotilus atromaculatus) 11
American eel (Anguilla rostrata) 9
Central stoneroller (Campostoma anomalum) 2
Rosyside dace (Clinostomus funduloides) 1


Macroinvertebrate Community

Seven worm-like insects of different colors (red, white, brown) with segmented bodies underwater
Larval midges in the Chironomidae family, which includes the genus Orthocladius, the most abundant macroinvertebrate taxon at George Washington Memorial Parkway.

© David H. Funk. / Stroud Water Research Center

Like fish, macroinvertebrates are water quality indicators. Some taxa, such as certain types of dragonflies, worms, and non-biting midges, can tolerate poor environmental conditions. Others, including mayflies, stoneflies, and caddisflies, are more sensitive to higher temperatures and pollution levels.
In addition, macroinvertebrates are a major food source for other aquatic animals. Most fish would not be able to survive without them.

Benthic Index of Biotic Integrity

Most sites at George Washington Memorial Parkway had very poor Benthic Index of Biotic Integrity (BIBI) scores. Like the previous monitoring cycle, Mine Run had the highest BIBI score. BIBI decreased at all streams besides Turkey Run where the score improved slightly.

Like FIBI, BIBI scores are used to evaluate stream health and take into account the tolerance and abundance of macroinvertebrate taxa, as well as the way each organism feeds and its habitat. BIBI scores range from 1 to 5, with four possible ratings: very poor (1–1.99), poor (2–2.99), fair (3–3.99), and good (4–4.99). Figure 2 shows the BIBI scores for each stream site.

A bar plot showing Benthic Index of Biotic Integrity, ranging from 1 to 5, on the y-axis, and George Washington Memorial Parkway stream names on the x-axis. Refer to narrative figure description for more details.
Figure 2. Benthic Index of Biotic Integrity (BIBI) scores for four streams at George Washington Memorial Parkway. Scores are measured on a scale of 1 to 5, categorized as: 1–1.99 = very poor, 2–2.99 = poor, 3–3.99 = fair, 4–4.99 = good. Missing bars indicate that the stream was not sampled in that year.

Taxa Found

In 2022, 51 benthic (bottom-dwelling) macroinvertebrate taxa were observed across four stream sites. The tolerant taxon Orthocladius (non-biting midges) was the most commonly identified at the park, accounting for 31.1% of all macroinvertebrates recorded at the park. The relative abundance of Orthocladius increased at all sites, including at Pimmit Run, where Diamesa (another tolerant non-biting midge) was the most common.

Many of the common macroinvertebrate taxa at the park have a high or intermediate tolerance to poor environmental conditions. A sensitive genus of stoneflies, Amphinemura, was the third-most common taxon at Mine Run.

Mine Run, which had the highest BIBI score of 2.36 (poor), also had the greatest macroinvertebrate richness of all the sites. Taxa richness increased at both Mine Run and Turkey Run.

Mine Run Top 5 Most Common Macroinvertebrate Taxa

Table shows five most common taxa of 30 total found
2022 BIBI: 2.36 (poor)

Taxon % of Total Individuals
Orthocladius 37.3
Diamesa 14.9
Amphinemura* 9.5
Maccaffertium 5.5
Parametriocnemus 4.0

*Sensitive to environmental stress

Minnehaha Creek Top 5 Most Common Macroinvertebrate Taxa

Table shows five most common taxa of 17 total found
2022 BIBI: 1.02 (very poor)

Taxon % of Total Individuals
Orthocladius 52.1
Eukiefferiella 10.9
Cardiocladius 10.4
Cricotopus 6.8
Parametriocnemus 5.2

Pimmit Run Top 5 Most Common Macroinvertebrate Taxa

Table shows five most common taxa of 19 total found
2022 BIBI: 1.09 (very poor)

Taxon % of Total Individuals
Diamesa 47.9
Orthocladius 13.9
Cardiocladius 9.3
Polypedilum 8.8
Eukiefferiella 4.1

Turkey Run Top 5 Most Common Macroinvertebrate Taxa

Table shows five most common taxa of 24 total found
2022 BIBI: 1.95 (very poor)

Taxon % of Total Individuals
Orthocladius 20.7
Diamesa 18.6
Tvetenia 7.4
Polypedilum 5.3
Parametriocnemus 4.8


Stream Physical Habitat Monitoring

Observations of stream physical habitat are gathered at the same location and time as macroinvertebrate monitoring in spring and fish monitoring in late summer. The stream physical habitat characteristics fall into two broad categories: solid substrates (stream bed materials), and stream flow and depth.

Solid Substrates

  • Embeddedness of substrates: higher embeddedness = less available habitat for small fish, macroinvertebrates, and periphyton (small surface-growing organisms)
  • Epifaunal substrate: the amount and variety of hard materials that can be used as habitat
  • Instream habitat quality: higher values = greater variety of habitat and substrate particle sizes

Stream Flow and Depth

  • Pool quality: diversity of slow- and still-water habitats. Higher scores = more optimal habitat
  • Riffle quality: depth and complexity of riffles (shallow flows disrupted by substrate)
  • Water velocity and depth: higher scores indicate greater variety of water speeds and depths

All characteristics except embeddedness of substrates are measured on a scale of 0–20, with 20 being the most optimal habitat conditions. Embeddedness, which is closely related to epifaunal substrate, indicates habitat availability and is measured as a percent.

NCRN I&M no longer reports index scores for stream physical habitat but instead provides data on individual measures. These, along with FIBI and BIBI, provide a comprehensive view of stream quality. Other stream physical habitat characteristics observed but not reported here include the quantity of woody debris and root wads in the stream, stream bank stability, percent of channel shaded, distance from nearest road (remoteness), and land cover composition (percent urban, forested, and agricultural land).

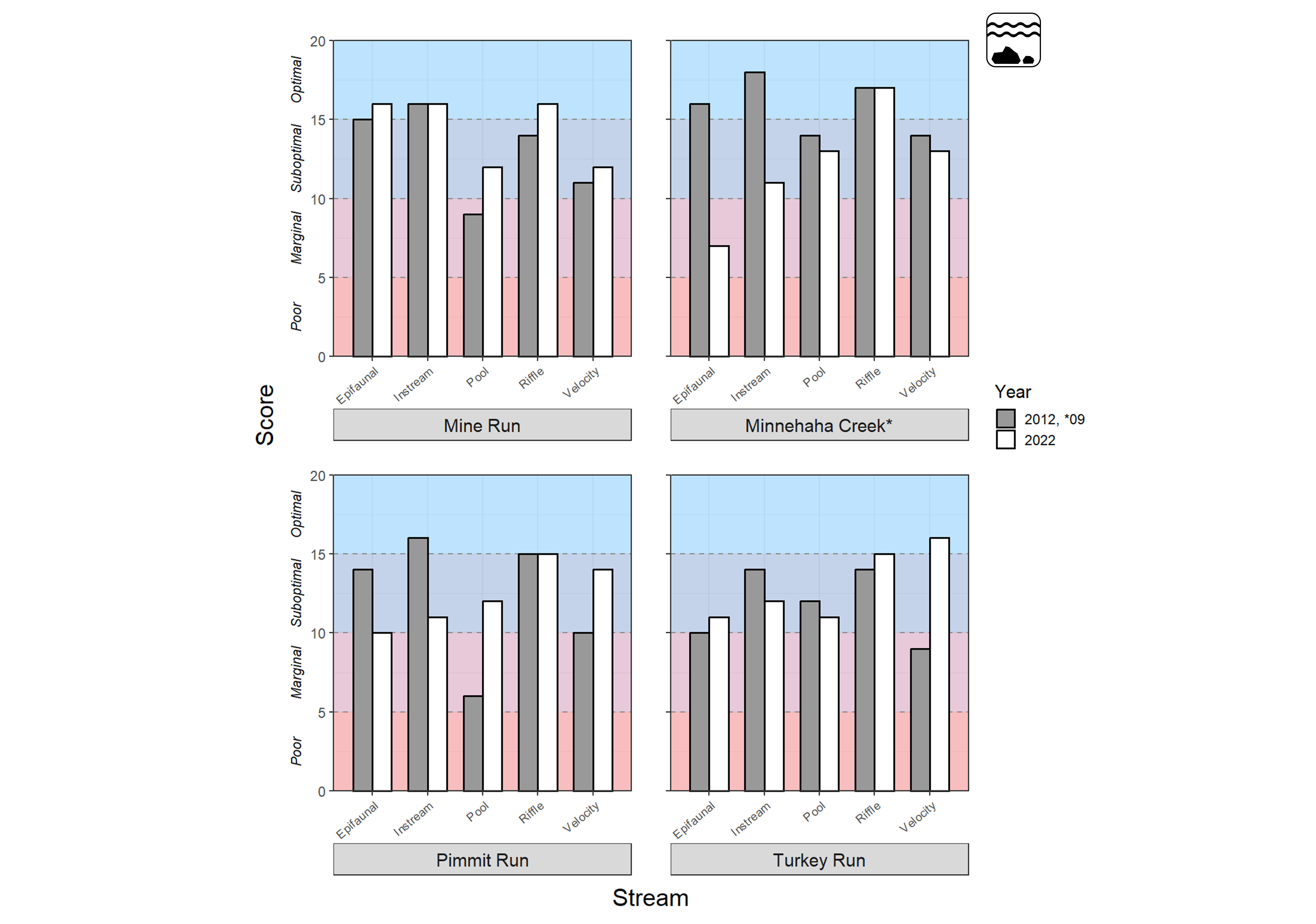
Stream physical habitat characteristics at George Washington Memorial Parkway were variable (Figure 3), with Mine Run scoring highest for quality of epifaunal substrate and instream habitat. Minnehaha Creek had the highest pool quality and riffle quality scores, while Turkey Run had the greatest diversity of water velocities and depths. All sites improved in at least one stream physical quality variable from the previous monitoring year, and the areas of improvement varied. For example, Mine Run scored higher in all metrics aside from embeddedness while embeddedness was the only area of improvement at Minnehaha Creek (Figure 4).

Four bar plots showing stream physical habitat quality scores, ranging from 0–20, on the y-axis for four streams at George Washington Memorial Parkway. Refer to narrative figure description for more information.
Figure 3. Stream physical habitat characteristics of George Washington Memorial Parkway streams in 2009/12 and 2022. Epifaunal substrate, instream habitat, pool quality, riffle quality, and velocity/depth are all measured on a scale of 0–20, categorized as: 0–5 = poor, 6–10 = marginal, 11–15 = suboptimal, 16–20 = optimal. A dot indicates a zero score.

A bar plot showing embeddedness as a percent at four George Washington Memorial Parkway streams listed along the x-axis, with 0 percent at the top of the y-axis and 100 percent at the bottom. Refer to narrative figure description for more details.
Figure 4. Embeddedness at George Washington Memorial Parkway streams in 2009/12 and 2022. Embeddedness is a percent; values above 55% indicate less available habitat and poor habitat quality.

Conclusion: Decline in Fish Abundance and Richness, Very Poor Macroinvertebrate Community

Consistent with previous years, blacknose dace was the most abundant fish species at George Washington Memorial Parkway. However, the number of blacknose dace and overall fish abundance decreased from the previous monitoring cycle at each site. Species richness also decreased at most sites except for Minnehaha Creek, where richness increased from one species to two with the addition of American eels. The sensitivity level of most fish species found at the park was classified as tolerant or intermediate. Thirteen sensitive fish were counted at Mine Run, and three at Turkey Run. Mine Run had the highest FIBI score (3.7, fair). The other three streams received poor or very poor FIBI scores.

Orthocladius was the most commonly identified macroinvertebrate at the park. The sensitivity level of most macroinvertebrate species was tolerant or intermediate. Mine Run had the greatest BIBI score with 2.36 (poor). BIBI increased slightly at Turkey Run, signalling a potential improvement in stream quality, but declined at the other three streams.

Stream physical habitat quality varied by stream but generally indicated moderate to high stream health.

Learn More about the National Park Service's Inventory & Monitoring Efforts

To help protect natural resources ranging from bird populations to forest health to water quality, National Park Service scientists perform ecological Inventory & Monitoring (I&M) work in parks across the country. The National Capital Region Network, Inventory & Monitoring program (NCRN I&M) serves national parks in the greater Washington, DC area. Visit the NCRN stream biota monitoring webpage to learn more. Previous cycles of fish, macroinvertebrate, and stream physical habitat monitoring were reported in 2013–2015.

Part of a series of articles titled Stream Biota Monitoring in the National Capital Region.

George Washington Memorial Parkway

Last updated: November 19, 2025