Last updated: January 10, 2024
Article
Amphibian Monitoring on Isle Royale, 2019
 
Gary Casper
Seven frog and toad species are known to occur on Isle Royale:
- Boreal Chorus Frog (Pseudacris maculata),
- Eastern American Toad (Anaxyrus americanus americanus),
- Gray Treefrog (Hyla versicolor),
- Green Frog (Lithobates clamitans),
- Mink Frog (Lithobates septentrionalis),
- Spring Peeper (Pseudacris crucifer), and
- Wood Frog (Lithobates sylvaticus).
One other species—the Northern Leopard Frog (Lithobates pipiens)—is possibly present. 
Toads and frogs are unique among amphibians in that they produce calls that are unique and identifiable. This makes it possible to monitor their populations using remote recorders, or “frog loggers.” Monitoring is important for many reasons, the top one being that declines of amphibian populations are one of the most prominent conservation issues in the world. Most amphibians need both land and water during their lifetimes, so they are sensitive to environmental changes including temperature, precipitation, and humidity, making them indicators of climate and habitat change. 
 
NPS
Frog Loggers
Ten permanent amphibian monitoring sites were established on Isle Royale in 2015. In April, an audio recorder at each site begins collecting 5-minute samples once an hour between 5:00 p.m. and 3:00 a.m. each day. Four extra samples are collected on the half-hour mark in the evenings between 7:30 and 10:30 p.m. A temperature sensor records temperature once an hour.
Recording frog and toad calls allows us to determine occupancy and abundance. Occupancy is a measure of whether or not a site is occupied by a species. Abundance is tracked by assessing how the maximum call intensity changes on sites across years, and by how many times we hear that species across years. In 2018, we also began tracking phenology, or the trends in annual first-calling dates for each species over time. For now, we are only tracking phenology for three species common to all parks in the network: Eastern American Toads, Green Frogs, and treefrogs. The Gray Treefrog and Cope’s Gray Treefrog have very similar calls that are difficult to distinguish, even with recordings, so for phenology purposes, we combine data for both species. 
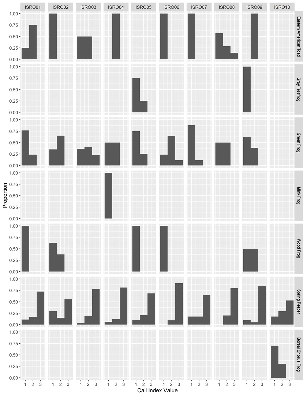
A sub-sample of the recordings are used to assign a Call Index Value (CIV) to each species. CIV is the maximum call intensity, ranging from CIV=1 (non-overlapping calls indicating few singing males) to CIV= 3 (calls too numerous to count individuals). CIVs can be analyzed over time to determine if a species is increasing or decreasing in abundance.
The Latest (as of 2019)
All seven species of frog and toad known to occur at ISRO were recorded in 2019, with Eastern American Toad, Green Frog, and Spring Peeper occurring at almost every site sampled. Wood Frogs were at six sites, which is more sites than in prior years. We attribute this increase to starting recorders earlier in the season when this species is most detectable. The Gray Treefrog, Mink Frog, and Boreal Chorus Frog were found at only one or two sites each. Confirming Mink Frog detections is problematic because there are few calls, resulting in lower confidence without visual confirmation. However, the single frog calling at ISRO04 appears correct. Northern Leopard Frog has yet to be confirmed on the island.
Phenology
Frogs begin calling later at ISRO than at most other network parks. In 2019, Eastern American Toads were first heard on 26 May. Green Frogs joined in three days later on 29 May. Treefrogs are very rare at ISRO, but detections were made as early as 20 June.
Call Index Values
Most species scored CIVs of 1 or 2 at all sites where they were heard. Besides the Spring Peeper, which scored CIVs of 3 at least half the time at all sites, the Green Frog was the only other species to score a CIV of 3, and that was at just one site.
 
What's Next?
The automated recorders continue to turn on each spring and capture the sounds of frogs and toads coming out of their winter slumber and looking for mates. Data collected since 2019 are being analyzed and we will publish regular updates on the status of amphibians on Isle Royale.
 
